Výpočet přechodnice
Vydáno: 4.3.2015Bylo by nošením dříví do lesa tvrdit, že modelařina je směsicí řady řemesel, znalostí a dovedností. Stejně tak mi nejspíš pamětníci dají zapravdu, že doba analogová nestála tak výrazně na znalosti elektrotechniky, jako současná éra digitální. Myslím si, že z mnohých dalších odborností vyučovaných na středních školách (bez nároku na přesnost a komplexnost výčtu) je pro modelařinu jistě užitečná též geometrie a deskriptiva. K publikování na webu HV mi byl nabídnut příspěvek s ojedinělým tématem – jak vypočítat přechodnici -, který se může hodit. Tak či onak nikoho nenutím dočíst jej do konce. (red. hlav)
Kubická parabola
Přechodnice je úsek trati mezi přímou a kruhovým obloukem. Úkolem přechodnice je plynulý nárůst bočního odstředivého zrychlení z nuly z přímé do maximálního v kruhovém oblouku. V praxi se používají různé druhy přechodnic. Velmi oblíbenou a na železnici používanou přechodnicí je kubická parabola. Její výhodou je jednoduchý výpočet a používání kartézkých souřadnic při vytyčování přechodnice v terénu.
Na kolejišti lze použitím přechodnic zlepšit jeho modelovost. Při použití flexi kolejiva se využití přechodnic přímo nabízí. Některé programy pro návrh schematu kolejiště použití přechodnice podporují, např. XTrackCAD.
Ti co používají jiné programy, papír a tužku, nebo se nechtějí nechat omezovat parametry přednastavenými programem, si mohou přechodnice bez velké námahy vypočítat sami.
.
Přímá – oblouk
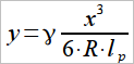
Souřadnice kubické přechodnice se vypočítají podle vztahu:
kde
y – y souřadnice přechodnice
γ – opravný součinitel, pro malé úhly odbočení nebo modelové železnice je možné zanedbat, v přechodnicích XTrackCAD se s opravným součinitelem nepočítá
x – x souřadnice přechodnice
R – poloměr oblouku
lp – délka přechodnice (v přímém směru)
λ – úhel tečny oblouku v místě napojení přechodnice na kruhový oblouk, maximální povolený úhel je 24° 5′ 41″
Opravný součinitel:
Souřadnice koncového bodu přechodnice:
Úhel tečny v koncovém bodu přechodnice:
Odsazení kružnicového oblouku:
Výše uvedené vztahy nejsou pro projektování příliš vhodné. Většinou známe R poloměr oblouku a volitelně si zadáme do jakého úhlu λ zakřivíme přechodnici. Potom po krátké úpravě dostaneme vztah pro výpočet délky přechodnice v přímém směru:
V přiloženém souboru prechodnice1.ods jsou připravené vzorce pro výpočet parametrů a souřadnic přechodnice. V tabulce se vyplňují pouze podbarvené buňky a ostatní hodnoty se automaticky dopočítají. Pro ilustraci jsou v tabulce uvedeny základní parametry přechodnice pro poloměr oblouku 543 mm a zakřivení 4° – 24°.
|
R |
λ° |
rad |
lp |
k |
m |
|
543 |
4 |
0,070 |
75,756 |
1,766 |
0,443 |
|
543 |
8 |
0,140 |
151,142 |
7,081 |
1,796 |
|
543 |
12 |
0,209 |
225,792 |
15,998 |
4,132 |
|
543 |
16 |
0,279 |
299,342 |
28,612 |
7,577 |
|
543 |
20 |
0,349 |
371,434 |
45,064 |
12,317 |
|
543 |
24 |
0,419 |
441,716 |
65,555 |
18,610 |
.
Oblouk – protioblouk
Při konstrukci přechodnice mezi přímou a obloukem je situace poměrně jednoduchá. Trochu složitější situace nastane v případě konstrukce přechodnic mezi dva protioblouky. Se znalostí geometrie střední školy to ale také není nic složitého.
Na obrázku jsou modře vyznačeny dva kruhové oblouky. Čárkovanou čarou je vyznačen kruhový oblouk zvětšený o odsazení m. Spojnice středů oblouků svírá s osou x úhel α. Úsečka a je spojnice středů kružnic a skládá se z přiléhajících úseků a1 a a2. Úsečka b je tečnou dvou kružnic R1+m1 a R2+m2 a skládá se z přiléhajících úseků b1 a b2. Úsek mezi přechodnicemi je přímý úsek tratě. Úhel β je úhel mezi spojnicemi středů oblouků a přímou tratě.
Kruhové oblouky mají souřadnice:
[x1, y1] – střed kružnice S1 s poloměrem R1
[x2, y2] – střed kružnice S2 s poloměrem R2
Pro výpočet přechodnic odvodíme následující vztahy:
Úhel spojnice středů kružnic:
Vzdálenost středů kružnic:
Výpočet úseků a1 a a2:
Po krátké úpravě:
Úhel β mezi spojnicí středů kružnic a přímé (tečny):
Délka úseků přímé b1 a b2:
Úhel δ mezi tečnou a osou x:
Souřadnice tečny kružnice S1:
Souřadnice tečny kružnice S2:
Souřadnice začátku přechodnice 1:
Souřadnice začátku přechodnice 2:
Souřadnice konce přechodnice 1:
Souřadnice konce přechodnice 2:
U všech součtů ve výrazech (včetně výrazů v závorkách) pro výpočet δ, T, Z a K je třeba příslušně upravit znaménka +/– podle vzájemné polohy kružnic S1 a S2, jejich poloměrů a velikosti úhlů α, β a δ. Vzorce jsou uloženy v souboru prechodnice2.ods. Tabulka pro výpočet je velmi jednoduchá a nedělá žádné kontroly. Kromě výše uvedené změny znamének, je při použití tabulky potřeba hlídat mezní hodnoty. Maximální úhel odbočení přechodnice nesmí být větší než 24° 5′ 41″. Vzdálenost bodů T1 a T2 musí být větší než je součet polovin délek obou přechodnic lp1 a lp2 – hodnota pole kontrola B25 musí být kladná. Pro rychlou vizuální kontrolu správnosti výpočtu jsou do XY grafu vyneseny kontrolní body trasy S, T, Z a K. Vzdálenost bodů jedné přechodnice Z – T a T – K ve směru v přímé musí být stejná – bod T leží v lp/2.
Odkazované soubory
prechodnice1.ods – ZDE
prechodnice2.ods – ZDE
(Poznámka autora: Soubory ODT, ODS,… jsou soubory formátu OpenDocument http://cs.wikipedia.org/wiki/OpenDocument a je možné jej otvírat v programech LibreOffice http://www.libreoffice.org/ (doporučeno) nebo OpenOffice http://www.openoffice.org/ (a mnohých dalších méně známých), které jsou zdarma. Nejsou tedy určeny pro přímé otevírání v prohlížeči. Napřed je třeba je stáhnout na lokální disk (se zachováním přípony .ods) a potom příslušným programem otevřít.)
Vytvořeno 22. 2. 2015
ZDROJ: https://sites.google.com/site/sidloweb/xtrackcad/prechodnice
Rubrika: Kolejiště, STAVBY, VARIO, ZPRÁVY

























































